本文发布初衷为追踪新研究进展并分享给更多的研究者参考,如若侵犯到原作者或者其他单位任何相关利益,请告知删除!发布过程存在不准确或表述不清,以及任何疏漏,欢迎大家后台/邮件(2930832789@qq.com)留言指正或者删除。谢谢!
题目: Elevated moisture stimulates carbon loss from mineral soils by releasing protected organic matter
期刊:Nature Communications
发表时间:2017年11月
第一作者:Huang Wenjuan
通讯作者及联系方式: stevenjh@iastate.edu
影响因子:2020年IF=14.919;5年IF=15.805
文献解读
土壤微生物对有机碳的分解利用促进了土壤碳的释放,进而影响全球碳循环。微生物活性主要受到土壤水分含量的影响,合适的水分、氧气含量以及通过土壤水分扩散的碳底物使得有机碳的分解加快。因此在土壤水分条件适中时,短期异养呼吸导致的CO2释放量升高。然而,土壤水分含量达到饱和状态时,氧气有效性降低对土壤异养呼吸的影响关注不足。因此,阐明异养微生物活性对土壤水分含量增加的响应机制仍然是预测碳循环对气候变化反馈的关键。
土壤活性矿物,特别是活性铁氧化物可以保护有机碳不受微生物的分解,进而起到稳定固存有机碳的作用。易被微生物分解利用的亲水性和羧基碳化合物可以通过吸附和共沉淀方式被土壤铁氧化物稳定固存,土壤表层矿物结合态碳库可以在十年到千年尺度上周转。然而对矿物结合态碳释放并被微生物分解利用的生物地球化学过程关注较少,特别是铁氧化物对土壤有机碳的保护易受土壤水分含量变化引起的氧化还原动力学的影响。值得注意的是,好氧条件下与铁氧化物结合态碳约占有机碳的40%,这部分碳在铁还原溶解后极易被释放和分解。
厌氧条件下铁氧化物的还原溶解会增加土壤中溶解态和胶体态有机碳的含量,此碳组分的微生物有效性较高。同时,厌氧条件下控制土壤有机质分解的水解酶含量降低,而且酚类物质的增加也会抑制水解酶的活性,因此,与好氧条件相比,厌氧条件下有机碳的微生物分解降低。但当有可水解碳或单体碳存在时,短暂的厌氧条件并不一定能抑制异养微生物活性。铁还原引起的溶解态和胶体态有机碳的释放在介导异养呼吸对土壤水分升高的响应机制尚不清楚,无法定量铁还原所导致的有机碳损失能在多大程度上抵消厌氧条件引起的有机碳含量增加。因此,文章假设短时间尺度上(小时/天),土壤水分含量提高抑制土壤呼吸引起的土壤有机碳含量增加会被与铁氧化物结合的有机碳的释放和矿化抵消。
研究选取长期进行玉米(C4)与大豆(C3)轮作土壤进行培养实验,玉米(C4)与大豆(C3)轮作可以为实验提供了自然稳定同位素(δ13C)标记。同时考虑到地形特点,选择坡顶(ridge),坡面(footslope)及坡底(depression)进行采样。研究区域即使有人工排水系统,但土壤含水量和水位也经常出现较大的季节性波动,因此培养实验设置三种水分环境(田间持水量的51%、77%、99%)。通过152天的恒温培养实验来研究土壤水分含量变化对土壤CO2和CH4产生及其δ13C值的影响。
研究结果
(1)土壤水分含量对有机碳矿化(CO2和CH4)的影响随时间的变化显著,与低水分条件(51%WFPS,作为对照)相比,在中等(77%WFPS)和饱和(99%WFPS)水分条件下,土壤水分含量对有机碳矿化的影响都是先抑制后增强(图1)。(2)培养的前25天,饱和水分条件下所有土壤累积CO2释放量都显著低于中等和低水分条件(图2b);
(3)培养实验的25-82天,土壤饱和及中等水分条件CO2的产生显著高于对照处理。3种水分条件中,坡顶与坡面土壤前82天的累积CO2排放量相近,坡底土壤在中等以及饱和水分条件下的累积CO2排放显著高于对照处理(图1b);
(4)将培养过程中产生的CH4考虑在内时,土壤水分含量增加对有机碳矿化的促进作用增强(图1c)。中等和饱和水分条件下的CH4产生量占有机碳总矿化量的38%和30%,低水分条件下CH4对总有机碳矿化的贡献可以忽略(<0.2%)。培养结束时,中等和饱和水分条件下土壤碳(CO2+CH4)的累积矿化量显著高于对照(图1d)。
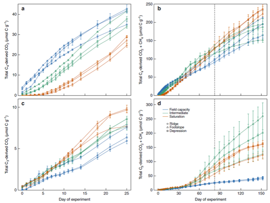
(5)在前25d,与中等和低水分条件相比,饱和水分条件显著抑制了C4衍生碳的累积矿化。82天培养后,中等和饱和水分条件下土壤C4衍生碳的累积矿化显著高于对照(图3);
(6)相对于C4衍生碳, C3衍生碳的矿化在培养实验过程中受土壤水分含量的影响更大。随着培养时间延长,中等和饱和水分条件下C3衍生碳对有机碳矿化的贡献逐渐增加,从25天的20%增加至82天的38%和153天的44%。培养实验结束时,中等和饱和排水条件下的C3衍生碳累积矿化率比对照分别提高了356%和246%(图3);
(7)饱和水分条件下土壤Eh在培养10天后由512mV降至-101mV,二价铁含量由0.2µmolg−1,增加至29.6µmolg−1。
结论
土壤碳矿化与土壤水分含量之间的传统理论认为,短期(小时/天)厌氧条件下,由于能量和酶对微生物活性的限制,高土壤水分含量限制了土壤碳矿化。这一关系符合生态系统模型中异养呼吸的典型水分响应函数(图2),然而,在更长的时间尺度上,该模型可能低估了当土壤经历持续的高水分时期的碳矿化。通过水分与土壤呼吸响应函数计算发现,在土壤经历长期淹水时,该函数低估了土壤累积碳矿化(>50%),这是由于受矿物保护的有机碳在土壤水分含量升高条件下被释放和矿化(图2)。当土壤中铁氧化物发生还原溶解时,它会促进微生物接触之前受保护的不稳定碳,从而加速矿质土壤中碳的流失。
主要图表

Fig. 1 Carbonmineralization from three Mollisols incubated under moisture levels at andabove field capacity. a CO2 production rate; b cumulative CO2production; c total C mineralization rate (CO2+CH4); dcumulative total C mineralization (CO2+CH4). The verticaldashed line indicates when gradual drainage was initiated in the saturatedsoils. The error bars indicate s.e.m. (n = 4)

Fig. 2 Relationships between soil moisture and cumulative C mineralization.Values of soil C mineralization from our study were normalized by the values at field capacity measured at 25, 82, and 152 days, respectively.Soil moisture for the saturated/drained period at 152 days is the mean value overthis experiment. The dashed line is the best-fit relationship from Moyano etal.5: SRH = 3.11θS−2.42θS2,in which SRH is soil C mineralization and θS is relativewater saturation. Each point is the averaged value across the three Mollisols.The error bars indicate s.e.m. (n = 12)

Fig. 3 Cumulative mineralization of different C sources in threeMollisols incubated under moisture levels at and above field capacity. a, c Short-termcumulative mineralization of C4-derived C (a) and C3-derivedC (c) respired as CO2; b, d long-term cumulativemineralization of C4-derived C (b) and C3-derivedC (d) respired as CO2 and CH4. The vertical dashedline indicates when gradual drainage was initiated in the saturated soils. Theerror bars indicates.e.m. (n=4)

Fig. 4 Temporal chemical variations in footslope soils incubatedunder field capacity and saturation. a Redox potential (Eh) and ferrous iron(Fe(II)); b dissolved organic carbon (DOC) from C4 and C3sources. The error bars indicate s.e.m. (n=4, except for Eh where n=5)